電感,只看DCR,飽和電流嗎?
在開關電源(指D to D電路,即Buck,Boost等直流轉直流拓撲結構)電路的設計中電感的設計選型為研發工程師帶來了許多的挑戰。工程師在選型中,常會關注的如:電感的感值,直流導通阻抗,電感的電流,里面又分很多種叫法,飽和電流,額定電流,溫升電流等等,再資深些的工程師,會關注電感的繞線結構,關聯到電感的磁力線方向,如何去優化EMC等,機械尺寸,關聯到熱阻分布是否均勻等等。更資深的工程師,還會關注一些電感規格書標定以外的一些參數,比如ACR,關聯到高頻交流損耗,磁芯的矯頑力,剩磁等,關聯到一些極限設計時的耗散功率的損耗等等。
絕對大部分的工程師,只關注了感值,直流導通阻抗,飽和電流。但當產品設計遇到瓶頸時,卻又不知道問題點出在哪,試了好多方案,興許方向還錯了,拖延了項目研發周期。以下三體微為你深度剖析電感的選型要點,理解電感的各個參數要點。
電感,只看DCR,飽和電流嗎?
電感常常被理解為開關電源輸出端中的LC濾波電路中的L(C是其中的輸出電容)。只理解到這個程度還不夠,為了使得電感在設計中更優化,甚至許多場合,發熱問題和高度問題都聚焦在電感,為了使得整個項目突破限高問題,解決發熱問題,就必須更深入的了解電感的行為本質。
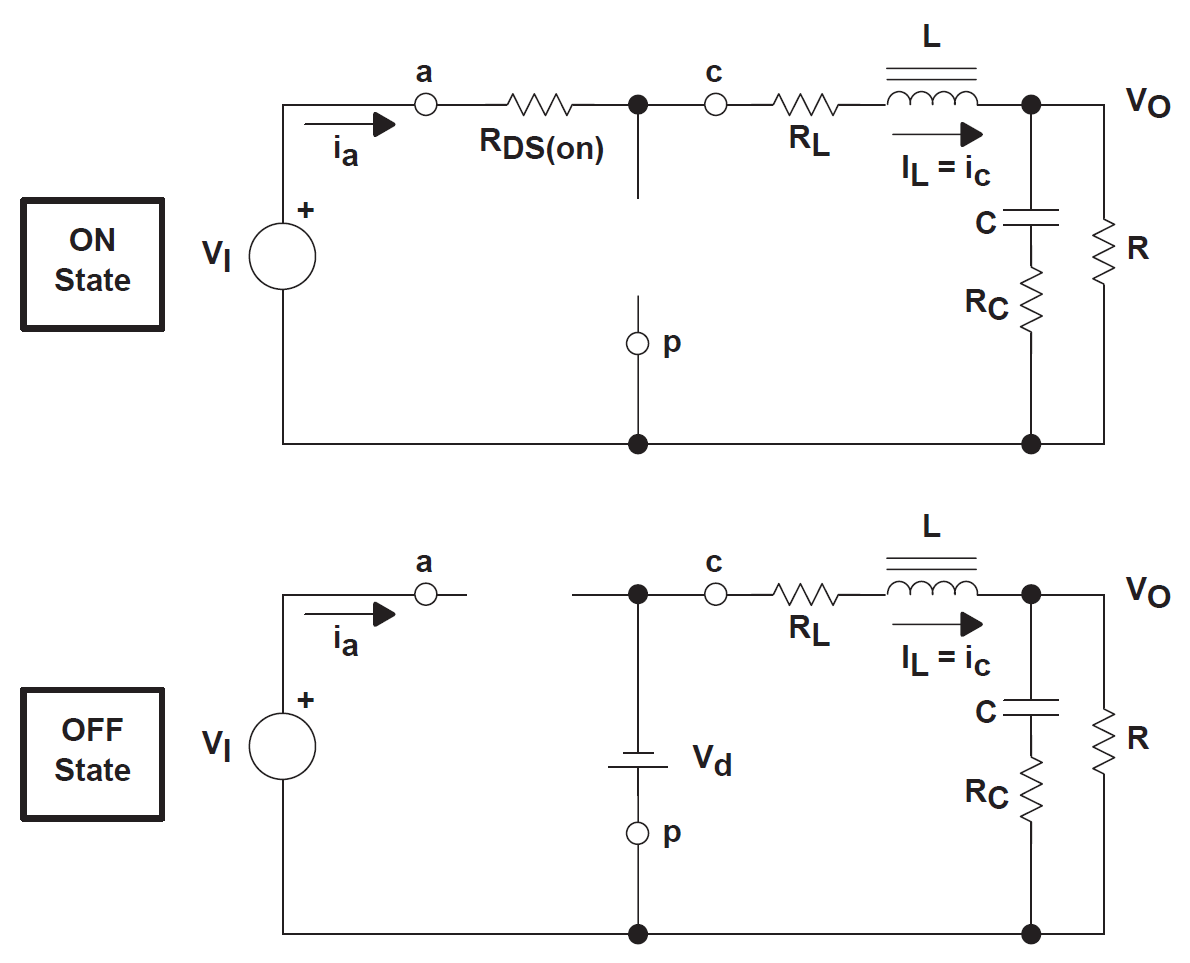
以降壓電源轉換(Buck拓撲)舉例,如圖1。電感的一端是連接到DC輸出電壓。另一端通過開關頻率切換連接到輸入電壓或GND。電路中由功率管Q1和功率續流二極管CR1來回切換進行工作,隨著半導體工藝的成熟與技術演進,越來越多的Buck電路CR1已經被功率開關管所取代,但注意,當上管與下管都是功率MOS管時,兩個功率管是不允許同時導通的(同時導通的話,此回路阻抗最低,會直接短路,電路會燒毀),必須以合適的死區時間進行管理,使得兩管交替工作,即Q1導通時,Q2斷開,Q2導通時,Q1斷開,必須非常精準的進行同步控制,所以也被稱為同步整流電源轉換。

圖1.降壓電源轉換基本結構
在狀態1過程中,電感會通過(上管“high-side”)功率MOS管連接到輸入電壓。在狀態2過程中,電感連接到GND。兩個狀態如圖2。

圖2.Buck電路控制狀態
現在分析一下在這兩個狀態下,電感的電流與電壓是如果變化的,如圖3。在狀態1中,電感的一端連接到輸入電壓,另一端連接到輸出電壓。對于一個降壓轉換器,輸入電壓必須比輸出電壓高,因此會在電感上形成正向壓降。在狀態2中,原來連接到輸入電壓的電感一端被連接到地(通過CR1或者同步整流構架的下管)。輸出電壓為正端,因此會在電感上形成負向的壓降。

圖3.電感在Buck電路中電流與電感的變化過程
我們利用電感上電壓計算公式:
V=L(dI/dt)
我們單獨拉出其中一個周期做分析,如圖4,當電感上的電壓為正時(狀態1),電感上的電流會增加;當電感上的電壓為負時(狀態2),電感上的電流就會減小。通過電感的電流如圖2所示:

圖4.電感單個周期的電流狀態
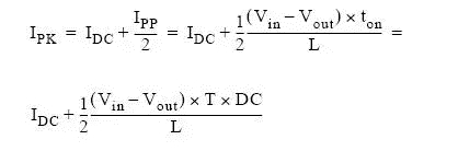
通過圖4我們可以看到,流過電感的最大電流為DC電流加開關峰峰電流的一半。上圖也稱為紋波電流。根據上述的公式,我們可以計算出峰值電流:

其中,ton是狀態1的時間,T是開關周期(開關頻率的倒數),DC為狀態1的占空比。
備注:上面的計算是基于各元器件(MOSFET上的導通壓降,電感的導通壓降或異步電路中肖特基二極管的正向壓降)上的壓降對比輸入和輸出電壓是相對可以忽略的簡化公式。
如果,各器件的壓降不作忽略,計算公式會復雜些:

同步整流轉換電路:

異步轉換電路:

其中,Rs為感應電阻阻抗加電感繞線電阻的阻。Vf 是肖特基二極管的正向壓降。R是Rs加MOSFET導通電阻,R=Rs+Rm。
深度解析
詳細講述了某一個周期的電感狀態的變化,我們開始正式進入電感選型的深度解析,我們知道,開關電路當中,在設計中往往遇到高溫以及高度問題的瓶頸時,電感基本都是聚焦點,那么電感的耗散功率到底有哪些部分組成呢?絕大部分的設計人員,選型電感時只看重DCR,即電感的直流導通阻抗,但已經選擇的較低DCR的電感,還是太燙,那就選一個更大尺寸的電感,希望通過更大的體積,接觸空氣的表面積更多,以及本身熱阻更低來降低溫度,但如果體積與高度不允許的情況下呢,沒有退路了, 必須搞清楚電感的耗散功率到底有哪些部分組成。三體微通過成功經驗的積累以及大量數據分析與你分享以下重要內容:
電感的耗散功率,有三大部分組成:

其中,Pdcr是直流偏置損耗,即大部分我們看到的電感規格書中的DCR。

即電感電流中,平均電流的平方與直流導通阻抗的乘積。但電感在此應用當中,并不是直流狀態,而是交流狀態,所以引入了Pacr的耗散功率部分。Pacr是交流偏置部分的損耗。

與Pdcr不同,Pdcr的損耗是下面長方形部分的面積,而Pacr是電感電流三角波部分的面積,根據不同的應用場景,有兩個重要因素,首先是電感自身的ACR是隨頻率變化的,即不同的開關電源,開關頻率是不同的,如國際型電源芯片廠商,凌力爾特,ADI等,有幾十MHz的電源解決方案,國內本土品牌鈺泰科技(ETA)有近10MHz的電源解決方案,當然個別應用場景為了其他設計要求,也有只能選擇低頻開關頻率的電源方案,頻率越高,電感的ACR值會越差,不同結構設計的線圈,不同的磁芯配方,都會導致不同衰減系數的ACR。以下是三體微一款用于65W無線充,低ACR的成品實測曲線,在不同頻率下,電感的ACR會發生明顯的變化。如圖5。

圖5.SCHH0630-4R7M-ACR頻率曲線圖
另外一個重要因素,則是開關電源的占空比,在不同的占空比下,比如19V轉16.8V,其占空比是88.42%,和19V轉1V,其占空比是5.26%,占空比不同,電感電流的di/dt完全不同,三角波面積也會完全不同,其對ACR的要求也會完全不同,而以上兩組電源轉換,是在筆記本電腦當中尤為常見的兩組電壓,分別是給4s電池充電的電路和CPU供電的電路。就拿這兩個常用案例來說,前者,三體微推薦SCHB1040-2R2M,該系列將優化點重心放在優化DCR上;后者,三體微推薦SCHH0630-R22M,該系列將兼備優化DCR同時優化ACR。針對不同應用,需要精準判斷尋找適合的解決方案。
另外,關于Pcore,這基本都是全球頭部電感供應商的核心技術,core是電感磁芯的意思,在一體成型電感當中,即磁粉原材料用不同的配方,直接影響Pcore的耗散功率,在磁粉的耗散功率中,又由磁滯損耗,剩余損耗和渦流損耗組成,其中占比最大的是磁滯損耗,其他兩部分不作為主要討論對象。
磁芯材料磁化時,送到磁場的能量有2部分,一部分轉化為勢能,即去掉外磁化電流時,磁場能量可以返回電路;而另一部分變為克服摩擦使磁芯發熱消耗掉,這就是磁滯損耗。如圖6。

圖6.磁滯損耗示意圖
磁化曲線中陰影部分的面積代表了在一個工作周期內,磁芯在磁化過程中由磁滯現象引起的能量損耗。如上圖可知, 影響損耗面積大小幾個參數是:最大工作磁通密度B、最大磁場強度H、剩磁Br、矯頑力Hc,其中B和H取決于外部的電場條件和磁芯的尺寸參數,而Br和Hc取決于材料特性。電感磁芯每磁化一周期,就要損耗與磁滯回線包圍面積成正比的能量,頻率越高,損耗功率越大,磁感應擺幅越大,包圍面積越大,磁滯損耗越大。三體微有著頂尖的磁粉配方團隊,曾于全球頂尖磁性元器件廠商核心配粉專家組工作十余年。其主要突破重心則是降低剩磁,以及矯頑力,從而使得磁滯面積縮小,抑制其在高頻工作時產生的耗散功率,在磁粉配方方面,三體微專屬的解決方案,可降低成品熱阻特性,使得成品與友商在同樣的效率下,發熱優于其他方案,降低熱系數,解決發熱問題。
關于電感磁芯的飽和度
通過已經計算的電感峰值電流,我們可以發現電感上產生了什么。很容易會知道,隨著通過電感的電流增加,它的電感量會減小。這是由于磁芯材料的物理特性決定的。電感量會減少多少非常重要,而不僅僅只是看一個飽和電流,如果電感量衰減系數高,意味著過飽和電流后,衰減急劇,反之則有較為平緩的下降幅度,可以應用短時間大電流的特殊應用場景。要知道,如果在負載出現微短路狀態,如果電感徹底飽和,意味著直通,作為降壓電路,高壓直通到負載,電路會瞬間損壞。以三體微SCCT系列和SCHT系列舉例,其磁衰非常緩慢,針對某些場景,需要特別高的飽和電流,甚至應用時個別狀態會使得電感處于高磁飽狀態的,是非常適合推薦的。

可以對比一下市面上抗磁衰普通的電氣性能,比較直觀的看出下降幅度有明顯差異。

有非常多的應用場景,電感的選型著實讓工程師絞盡腦汁,三體微專注于開發頂尖的功率電感產品和方案,針對實際應用,從整體系統的角度為客戶精準定位,推薦最為合適的產品,縮短整體研發周期,歡迎關注三體微,專業磁性元器件制造商。


留言成功!
共有條評論 網友評論